電気と温度測定の完全ガイド
急速に進歩する現在のテクノロジーの世界では、電気と温度の測定は、さまざまな業界や用途にとって不可欠なものとなっています。
この完全ガイドは、このテーマについて包括的に理解することができます。
電気測定
電気測定は、さまざまなシステムを分析、監視、制御するために不可欠です。
基本的な概念を理解することで、電気測定の仕組みをより深く理解することができます。
電気の基礎を理解する
電圧とは?
電圧とは、電位差、または回路内で電荷を流す力を指します。電圧はボルト (V) で測定され、電荷の分離または位置エネルギーの差を伴うプロセスを通じて生じます。
電流とは?
電流は導体を流れる電荷の流量です。電流はアンペア (A) で測定され、電気回路やデバイスの性能と機能を評価する上で重要な役割を果たします。
電流と電圧を継続的に収集したいが、どのように始めればよいかを知りたいですか?
データロガーは、センサー、デバイス、システムなど、さまざまな現象の発生源からデータを収集する必要がある人にとって最適なソリューションです。詳細については、以下のブログをご覧ください。
抵抗とは?
電気抵抗は、電流の流れに対して物質が示す抵抗の尺度です。電気抵抗はオーム (Ω) で測定され、電荷の流れを妨げる物質の能力を表します。
電力とは?
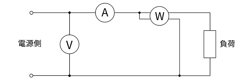
- 電圧計、電流計、電力計の接続方法
電力の定義
電力はワット (W) で測定され、回路内のエネルギー伝達率を表します。これは、デバイスとシステムのパフォーマンスを理解する上で重要な要素です。
回路における電力の公式
P=VI
P(ワット):電力
V(ボルト):電圧
I(アンペア):電流
測定用途例
電気自動車のバッテリー電圧
電圧測定に関しては、無停電電源装置(UPS)の電圧測定、電源システムの検査、さらには電気自動車のバッテリー電圧の測定など、さまざまな場面があります。測定に使用する方法は、作業者の目的に応じて異なる場合があります。したがって、測定方法とツールを選択するときは、精度、測定範囲、分析対象の電気システムの特定の要件などの要素を考慮することが重要です。
たとえば、電気自動車のバッテリー電圧は、その性能と航続距離に影響を与える重要な指標です。

電気自動車のバッテリー電圧で正確な電圧測定が重要な理由
1. 走行距離の推定
正確な電圧測定は、電気自動車の走行距離を推定するのに役立ち、ドライバーの不安を軽減します。
2. バッテリーの状態
バッテリーの状態を把握できるため、タイムリーなメンテナンスや交換を可能にします。
3. 充電制御
正しい電圧レベルを維持することで、安全で効率的な充電が保証されます。
4. 効率
電圧と電力出力の関係を理解することで、性能が最適化され、バッテリー寿命が延長されます。
データロガーの使用
センサーとソフトウェアを備えたデータロガーを使用すると、継続的かつ自動化された電圧監視が可能になり、長期的な分析と性能の最適化に役立ちます。
データロガーによる正確な電圧監視は、電気自動車の性能、走行距離、持続可能性にとって重要です。
以下の関連記事から、データロガーを使用した測定などについて理解を深めることができます。
物理測定
物理的測定には、材料やシステムの動作を理解するために、ひずみ、圧力、応力、温度などのパラメータを定量化することが含まれます。
また、開発者やエンジニアは、材料やシステムが外力や温度変化にどのように反応するかについて貴重な洞察を得ることができます。
ひずみとは?
ひずみとは、外力や温度変化を受けたときに材料が受ける変形を指します。これは、物体の形状が元の形状と比較してどの程度変化したかを示す尺度です。材料が受ける変形の量を定量化することで、エンジニアはその性能を評価し、特定の用途への適合性を判断できます。
ひずみゲージの原理に基づくセンサー
物体が外力に応じて変形するときに発生するひずみは、ひずみゲージを使用して測定できます。熱電対を使用して温度を測定するのと同様に、ひずみゲージは物体の変形を正確に測定するために使用されます。
圧力センサー
圧力センサーは、ひずみゲージの原理を利用して圧力の変化を検出します。外部圧力が加えられると、スプリング要素が変形し、ひずみゲージの抵抗が変化します。圧力センサーはさまざまな業界で利用されており、プロセス制御や品質管理などのタスクで重要な役割を果たします。
加速度センサー
加速度センサーは、物体の加速度を測定するために設計されています。物体が加速を受けると、ひずみが生じ、それが加速度センサーによって検出されます。これらのセンサーは、構造物、車両、その他のシステムの加速度を検出し、測定値を提供することができます。
ひずみゲージをベースとしたひずみ測定センサーは、温度や電気特性と同様に連続的な検出が可能で、さまざまな分野で幅広く使用されています。データロガーと、これらのセンサーを有効に活用し、データ分析やレポート作成が可能になります。ひずみ測定技術は、さまざまな産業における構造物の品質管理や安全性向上に欠かせません。
温度とは?
温度は物質の熱状態を示す重要な指標として機能し、日常生活から工業プロセスまで幅広く応用されています。正確な温度測定は、品質管理、安全性、効率性に不可欠です。物質の温度は分子運動に影響を与え、さまざまな物質特性の変化をもたらします。このセクションでは、熱電対などを使用した方法を含む温度測定の基礎と重要性について詳しく説明します。
温度測定の原理
温度測定技術は、さまざまな物理的原理に基づいています。熱電対や抵抗温度検出器などの電気的方法は、材料の電気的特性を利用して温度を測定します。バイメタルストリップやガラス内液体温度計などの機械的方法は、温度変化による材料の膨張と収縮を利用します。
熱電対とは?
熱電対:Kタイプ
熱電対は、定義上、一端で接合された2本の異なる金属線で構成された温度センサーです。これはゼーベック効果に基づいて動作し、温度勾配によって電圧差が発生し、熱接点の温度を測定できます。
熱電対はどのように機能しますか?
熱電対は、熱接点と冷接点の温度差に比例した小さな電圧を生成します。この電圧は、専用の回路を使用して測定できます。熱電対は温度範囲が広く、さまざまな業界で温度測定によく使用されます。
熱電対の動作原理は、2種類の異なる金属を接合して温度勾配にさらすと発生するゼーベック効果に基づいています。熱接点と冷接点の温度差によって、温度に正比例する電圧が発生します。この電圧は、適切な校正技術を使用して測定し、温度測定値に変換できます。熱電対は、応答時間が速く、精度が高く、さまざまな温度範囲に対応できるなどの利点があり、温度測定の用途が広いツールとなっています。
温度計とは?
温度計
温度計は、温度測定専用に設計された機器です。温度変化を示すために、液体、気体、固体の膨張などのさまざまなメカニズムを使用します。現代の温度計には、デジタルディスプレイ、リモートセンシング、さらには物理的に接触せずに温度を測定するなどの高度なテクノロジが組み込まれていることがよくあります。たとえば、赤外線温度計はデジタルディスプレイを備え、物理的に接触せずに温度を測定できるため、さまざまな産業用途で安全かつ実用的です。
HIOKIの放射温度計 FT3700/FT3701 は、赤外線を利用して物体の表面温度を正確に測定する非接触型温度計です。2ビームレーザーマーカーを搭載し、高精度な測定が可能で、産業用途向けに設計されています。
単発測定と連続測定
測定方法は、単発測定と連続測定に分類できます。単発測定では、必要なタイミングで温度や電気の測定値を求める際に用いられますが、連続測定では、長期間にわたり測定値が収集されます。これら2種類の測定の違いを理解することは、さまざまな用途に適した方法を選択する上で重要です。
単発測定の機器
電気的および物理的パラメータの測定機器。電気的および物理的パラメータを正確に測定するには、各パラメータに合わせて調整された特殊な機器が必要です。ここでは、主要な電気的および物理的パラメータと、それに対応する測定機器について説明します。
電気パラメータ
| パラメータ | 機器 | 例 |
|---|---|---|
| 電圧 | デジタルマルチメータ (DMM) は電圧測定に不可欠です。DMM は、電圧、電流、抵抗などの電気パラメータを測定するための多目的ツールです。 | |
| 電流 | 電流測定はクランプメーターを使用して行われます。これらの機器はケーブルの周りにクランプセンサー(ジョー)をはさみ、非接触での電流測定を可能にします。 | |
| 抵抗 | 抵抗計は抵抗値を正確に測定し、モーターやコイル、回路評価を支援するために設計されています。 | |
| 電力 | パワーメータは、電力消費を測定し、エネルギー効率を向上させるのに最適です。 |
物理的パラメータ
| パラメータ | 機器 | 例 |
|---|---|---|
| 温度 | 温度測定には、温度計や赤外線温度計(放射温度計)などの特殊なツールが必要です。これらは物体や環境の温度を正確に測定し、さまざまな分野で応用されています。 | |
| 圧力 | 圧力計は、ガスや液体の正確な圧力測定に使用され、プロセス制御と品質管理をサポートします。 | |
| 荷重 | フォースゲージは、物体に加えられる力を測定し、材料試験や製品評価などの目的で使用されます。 |
これらの測定機器は、電気的パラメータと物理的パラメータの両方の測定において正確で信頼性の高いデータを取得するために不可欠です。さまざまな業界や用途で目的を果たすには、適切な機器を選択することが重要です。
連続測定用データロガー
データロガーは、電圧、電流、歪み、温度を継続的に監視する上で役立ちます。これらの機器は、さまざまなセンサーと組み合わせ、データを収集して保存し、長期的なデータ分析を行うことができます。特に、電気的および物理的な監視は、製品の品質、プロセスの最適化、規制要件への準拠を確保するために、多くの業界で不可欠です。データロガーは、継続的な測定用に特別に設計されており、大きな記憶容量、長いバッテリー寿命、温度センサーや、さまざまなセンサーと対応できる機能を備えています。一部のデータロガーには、外部メディアへの保存やワイヤレス接続によるデータ送信などの高度な機能も備わっています。これらのデータロガーは、詳細な温度記録と分析を必要とする用途に最適です。
これらの機器は、電圧などの電気要素や温度などの物理的パラメータなど、さまざまな測定対象からのデータを一定の間隔で同時に記録するように設定できます。
これにより、電気的および物理的データの傾向の分析、これらのパラメータの変動の特定、およびレポートの作成に活用できます。データロガーは、電気自動車、バッテリー、モーター、電子機器など、電気的および物理的状態の正確な制御が不可欠な業界で広く使用されています。
測定用途
データロガーはさまざまな目的で温度を測定するために用いられます。以下に実際の例をいくつか示します。
- バッテリー製造工程における温度監視
- バッテリー製造プロセスでは、形成という重要なステップにより、安定したエネルギー貯蔵が可能になります。形成中、バッテリーは充電と放電のサイクルを経るため、セル電圧と温度の記録が必要になります。これにより、バッテリーの健全性、機器の制御、トレーサビリティが確保されます。データロガーLR8101、LR8102 は、高電圧化と入力チャネルの拡張に対応し、ノイズの多い環境でもデータを正確に記録します。これは、高品質のバッテリー生産に不可欠です。データロガー LR8101、LR8102 の詳細をご覧ください。
- 環境モニタリング
- 地球環境の温度データの収集は、環境保護や気候観測などの科学的研究や予測に不可欠です。データロガーは、屋外と屋内の温度を監視し、気候変動に関するデータを提供するために使用できます。
- 開発プロセスにおける電子部品の温度監視
- 電気機器には、数百の電子部品を搭載した回路基板が組み込まれています。開発プロセスでは、エンジニアは回路基板上のこれらの部品の温度を監視して温度テストを実施し、機器の安全な動作を確保します。データロガーを使用すると、開発プロセス中にこれらの電子部品の温度を監視して過熱状態を把握することができます。これにより、最終製品の信頼性が向上します。
ご覧のとおり、データロガーはさまざまな目的で温度を測定するために使用できます。ニーズに合った適切なデータロガーを選択することが重要です。
データロガーを設置する際に考慮すべき事項
データロガーは、電圧、電流、歪み、温度などの電気的および物理的パラメータを継続的に収集および、監視するための重要なツールです。データロガーを設置するときは、長期間にわたって信頼性が高く正確な測定を保証するために、配置、キャリブレーション、データ保存期間などの要素を考慮する必要があります。
データロガーは、温度の継続的な収集や監視が必要なアプリケーションで広く使用されています。データロガーを設置するときは、温度測定を確実に行うために、その配置を慎重に検討する必要があります。熱源への近さ、断熱性、空気の流れなどの要素を考慮する必要があります。
さらに、測定精度を維持するために、データロガーを定期的に校正する必要があります。また、分析できる記録データの量を決定するため、データ保存期間も考慮する必要があります。これらのガイドラインに従うことで、開発者やエンジニアは、データロガーによって収集された温度データの整合性と信頼性を確保できます。












