LIB電極スラリーの電子伝導性評価
背景
脱炭素、EV 化加速の中、リチウムイオン電池に求められる機能、性能要求は高まっています。リチウムイオン電池におけるスラリー(LIB電極スラリー)は、例えば、正極(溶剤系)では正極活物質や導電助剤、バインダーをNMP に分散させて生成します。スラリーの状態は、材料の種類や組成、分散方法によって大きく変わります。また、うまく分散されていないと各々の物質の本来の性能が出せず、電池容量が低下したり、内部抵抗が大きくなる傾向となります。一方、スラリー状態で電気特性(インピーダンス特性)を知ることは可能ですが、複合材料で複雑性の高いスラリーの内部状態(混ざり具合)までを知ることは非常に困難です。
ここでは、スラリー解析システムを利用したLIB 電極スラリーの電子伝導性評価により、内部状態を推定する事例を紹介します。
評価事例1. 混錬時間による差異
目的
混錬時間の最適化
スラリー作製条件
- 固形分比率
活物質: 95 % 導電助剤: 2.5 % バインダー: 2.5 %
- 混錬工程
固形分濃度が70 % の状態で0, 1, 3, 5 分間混錬
- 粘度調整工程
固形分濃度が50 % になるようにNMP で希釈
解析結果

考察
混錬時間の増加とともに、Rratio は低下し、DCR は増加しました。このことは、混錬時間が短いほうが導電材料のネットワークは発達しており、それに伴いスラリーの全体抵抗が低くなっていると考えられます。一方、Uniformity は混錬時間の増加とともに上昇しています。スラリーの分散性は混錬時間が長いほうが良好であると考えられます。これらを総合すると、各混錬時間におけるスラリー中の導電材料の状態は以下のようにあると推定でき、3 分以上のほうが比較的良いスラリーであると判断できます。
混練時間 0~1分
導電材料は凝集状態、太くて短い導電パス
混練時間 3~5分
導電材料は分散状態、細くて長い導電パス
事例2. 導電助剤量の違い
目的
導電助剤添加量による電極抵抗の低下効果の確認
スラリーインピーダンスと電極抵抗の関連性の確認
スラリー作製条件
- 固形分比率
活物質: 18 g、導電助剤: 0.25 g, 0.5 g, 0.75 g、バインダー: 0.5 g
-混錬工程
形分濃度が70 % の状態で9 分間混錬
- 粘度調整工程
固形分濃度が50 % になるようにNMP で希釈
解析結果

考察
導電助剤の添加量増加に伴い、Rratio は上昇し、DCR は低下しました。この変化は、導電助剤添加により、スラリー中の導電材料ネットワークが発達し、それによりスラリーの全体抵抗が低下したと推定でき、スラリー解析の理論どおりの変化となっていると考えられます。
一方Uniformity は、助剤0.75g の水準は、0.5g の水準に対し低い均一性を示しています。助剤0.75g の水準の導電材料ネットワークは、比較的発達しているが分散が不足していると推定できます。
また、これらのスラリーを電極シート化し電極抵抗測定システムRM2610 で解析しました。結果、導電助剤の添加量増加に伴い、合材層抵抗、界面抵抗ともに低下しました。この結果は、スラリーの電子伝導性が電極シートの抵抗特性に引き継がれており、良好な塗工工程であることを示唆しています。
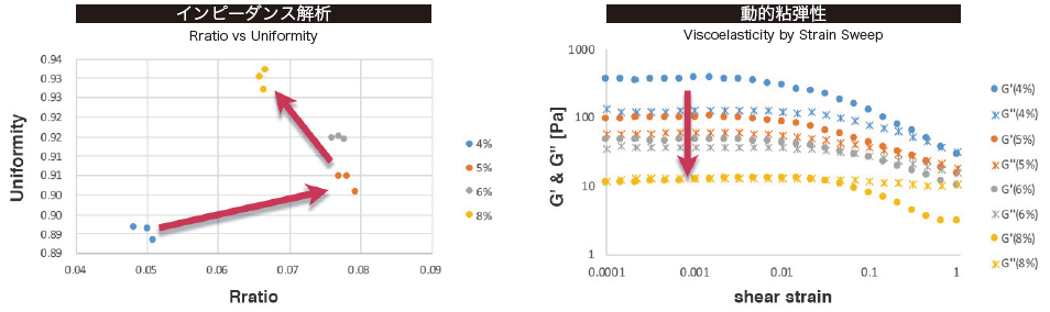
事例3. 分散剤量違いによる電子伝導性と動的粘弾性の関連性
信越化学工業株式会社様ご提供
目的
分散剤添加量によるスラリーへの影響を、インピーダンス、レオロジーの両方で確認
スラリー作製条件
- 固形分比率
活物質 : 96 %、導電助剤: 2 %、バインダー: 2 %、分散剤 : 0.08 % ~ 0.16 %( 4 % ~ 8 % vs 導電助剤量)
-導電助剤スラリー調製
導電助剤、分散剤、NMP のみの導電助剤スラリー作製
- 電極スラリー調製
活物質、バインダー溶液を加え、電極スラリー作製
解析結果

考察
-分散剤 添加4 % → 5 % vs 導電助剤量
Rratio は急激に上昇し、G’ とG’’ の差は縮まりました。
分散剤の添加によって導電助剤の凝集体が解消するとともに、形成した導電助剤ネットワーク構造が導電パスとして機能していることが示唆されました。
-分散剤 添加5 % → 8 % vs 導電助剤量
さらに分散剤の添加量を増やしていくと、スラリーのG” が優位となるため、流動性が向上し塗工性を調整できますが、Rratio は低下するため、導電助剤ネットワークの微細化が進行する一方で、切断も起きていることが推測されます。
